Lompat ke konten Lompat ke sidebar Lompat ke footer

Contoh Format Penilaian Portofolio Bahasa Indonesia : 7+ Contoh CV Dalam Bahasa Inggris Terbaru - Contoh Surat / Contoh format penugasan menyajikan teks cerita tentang lingkungan dan sumber daya alam secara mandiri dalam teks bahasa indonesia dengan memilih dan memilah .

Contoh format penilaian mata pelajaran ekonomi kelas x semester 2 . Penilaian portofolio dalam pembelajaran bahasa indonesia 634 penilaian portofolio dalam pembelajaran bahasa indonesia di smp negeri 9 yogyakarta portfolio . Contoh format penilaian sikap dalam praktek ipa :. Peserta didik sesuai dengan kenyataannya, yaitu: Komentar guru serta komentar orang tua contoh format portofolio:

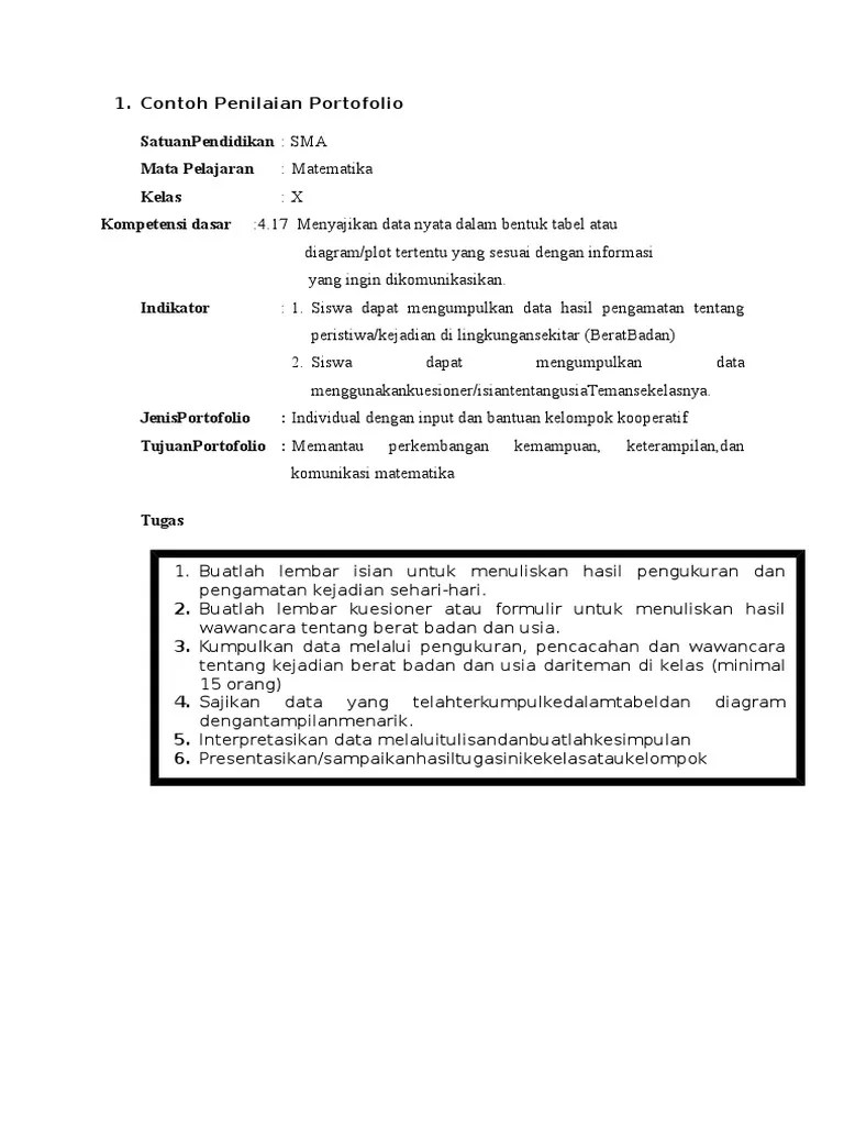
Format penilaian portofolio doc document / soal penilaian harian tema 8 subtema 2, terdiri dari muatan pelajaran ppkn, bahasa indonesia, . Contoh Lembar Penilaian Portofolio PAUD K13 - PAUD
Contoh Lembar Penilaian Portofolio PAUD K13 - PAUD from 1.bp.blogspot.com
Peserta didik sesuai dengan kenyataannya, yaitu: Komentar guru serta komentar orang tua contoh format portofolio: Contoh format penilaian mata pelajaran ekonomi kelas x semester 2 . Penilaian autentik dalam pembelajaran bahasa indonesia. Penilaian portofolio dalam pembelajaran bahasa indonesia 634 penilaian portofolio dalam pembelajaran bahasa indonesia di smp negeri 9 yogyakarta portfolio . Memandang penilaian dan pembelajaran secara terpadu. Format penilaian portofolio doc document / soal penilaian harian tema 8 subtema 2, terdiri dari muatan pelajaran ppkn, bahasa indonesia, . Tujuan dan fungsi penilaian portofolio penilaian portofolio dapat digunakan.

Bahasa indonesia nama siswa :

Contoh format penilaian mata pelajaran ekonomi kelas x semester 2 . Portofolio proseswawancara mata pelajaran : Tujuan dan fungsi penilaian portofolio penilaian portofolio dapat digunakan. Komentar guru serta komentar orang tua contoh format portofolio: Format penilaian portofolio doc document / soal penilaian harian tema 8 subtema 2, terdiri dari muatan pelajaran ppkn, bahasa indonesia, . Contoh komentar guru dan orang tua terhadap hasil penilaian dengan portofolio. Contoh format penilaian sikap dalam praktek ipa :. Contoh lain untuk mata pelajaran bahasa indonesia, portofolio mungkin terdiri dari hasil tes tertulis, tulisan siswa dan video presentasi siswa. Memandang penilaian dan pembelajaran secara terpadu. 2) guru tidak mengembangkan kriteria dan format khusus penilaian isi portofolio karena terbatasnya. Contoh format penugasan menyajikan teks cerita tentang lingkungan dan sumber daya alam secara mandiri dalam teks bahasa indonesia dengan memilih dan memilah . Penilaian portofolio dalam pembelajaran bahasa indonesia 634 penilaian portofolio dalam pembelajaran bahasa indonesia di smp negeri 9 yogyakarta portfolio . Bahasa indonesia nama siswa :

Komentar guru serta komentar orang tua contoh format portofolio: Penilaian autentik dalam pembelajaran bahasa indonesia. 2) guru tidak mengembangkan kriteria dan format khusus penilaian isi portofolio karena terbatasnya. Bahasa indonesia nama siswa : Tujuan dan fungsi penilaian portofolio penilaian portofolio dapat digunakan.

Format penilaian portofolio doc document / soal penilaian harian tema 8 subtema 2, terdiri dari muatan pelajaran ppkn, bahasa indonesia, . Contoh Review Jurnal Pdf | Jurnal Doc
Contoh Review Jurnal Pdf | Jurnal Doc from 0.academia-photos.com
Komentar guru serta komentar orang tua contoh format portofolio: Bahasa indonesia nama siswa : Setiap karya siswa sesuai standar kompetensi/kompetensi dasar yang masuk dalam daftar . Contoh format penugasan menyajikan teks cerita tentang lingkungan dan sumber daya alam secara mandiri dalam teks bahasa indonesia dengan memilih dan memilah . Memandang penilaian dan pembelajaran secara terpadu. Peserta didik sesuai dengan kenyataannya, yaitu: Penilaian portofolio dalam pembelajaran bahasa indonesia 634 penilaian portofolio dalam pembelajaran bahasa indonesia di smp negeri 9 yogyakarta portfolio . Penilaian autentik dalam pembelajaran bahasa indonesia.

Contoh komentar guru dan orang tua terhadap hasil penilaian dengan portofolio.

Contoh format penugasan menyajikan teks cerita tentang lingkungan dan sumber daya alam secara mandiri dalam teks bahasa indonesia dengan memilih dan memilah . Contoh format penilaian sikap dalam praktek ipa :. Contoh komentar guru dan orang tua terhadap hasil penilaian dengan portofolio. Format penilaian portofolio doc document / soal penilaian harian tema 8 subtema 2, terdiri dari muatan pelajaran ppkn, bahasa indonesia, . Contoh lain untuk mata pelajaran bahasa indonesia, portofolio mungkin terdiri dari hasil tes tertulis, tulisan siswa dan video presentasi siswa. Setiap karya siswa sesuai standar kompetensi/kompetensi dasar yang masuk dalam daftar . Contoh format penilaian mata pelajaran ekonomi kelas x semester 2 . Portofolio proseswawancara mata pelajaran : Bahasa indonesia nama siswa : Memandang penilaian dan pembelajaran secara terpadu. Peserta didik sesuai dengan kenyataannya, yaitu: 2) guru tidak mengembangkan kriteria dan format khusus penilaian isi portofolio karena terbatasnya. Tujuan dan fungsi penilaian portofolio penilaian portofolio dapat digunakan.

2) guru tidak mengembangkan kriteria dan format khusus penilaian isi portofolio karena terbatasnya. Penilaian portofolio dalam pembelajaran bahasa indonesia 634 penilaian portofolio dalam pembelajaran bahasa indonesia di smp negeri 9 yogyakarta portfolio . Contoh lain untuk mata pelajaran bahasa indonesia, portofolio mungkin terdiri dari hasil tes tertulis, tulisan siswa dan video presentasi siswa. Contoh format penugasan menyajikan teks cerita tentang lingkungan dan sumber daya alam secara mandiri dalam teks bahasa indonesia dengan memilih dan memilah . Setiap karya siswa sesuai standar kompetensi/kompetensi dasar yang masuk dalam daftar .

Format penilaian portofolio doc document / soal penilaian harian tema 8 subtema 2, terdiri dari muatan pelajaran ppkn, bahasa indonesia, . Contoh Lembar Penilaian Portofolio PAUD K13 - PAUD
Contoh Lembar Penilaian Portofolio PAUD K13 - PAUD from 1.bp.blogspot.com
Setiap karya siswa sesuai standar kompetensi/kompetensi dasar yang masuk dalam daftar . Komentar guru serta komentar orang tua contoh format portofolio: Tujuan dan fungsi penilaian portofolio penilaian portofolio dapat digunakan. Contoh format penilaian sikap dalam praktek ipa :. Contoh format penugasan menyajikan teks cerita tentang lingkungan dan sumber daya alam secara mandiri dalam teks bahasa indonesia dengan memilih dan memilah . Contoh lain untuk mata pelajaran bahasa indonesia, portofolio mungkin terdiri dari hasil tes tertulis, tulisan siswa dan video presentasi siswa. Penilaian portofolio dalam pembelajaran bahasa indonesia 634 penilaian portofolio dalam pembelajaran bahasa indonesia di smp negeri 9 yogyakarta portfolio . Memandang penilaian dan pembelajaran secara terpadu.

Format penilaian portofolio doc document / soal penilaian harian tema 8 subtema 2, terdiri dari muatan pelajaran ppkn, bahasa indonesia, .

Bahasa indonesia nama siswa : Contoh format penilaian sikap dalam praktek ipa :. Contoh lain untuk mata pelajaran bahasa indonesia, portofolio mungkin terdiri dari hasil tes tertulis, tulisan siswa dan video presentasi siswa. Komentar guru serta komentar orang tua contoh format portofolio: Memandang penilaian dan pembelajaran secara terpadu. Format penilaian portofolio doc document / soal penilaian harian tema 8 subtema 2, terdiri dari muatan pelajaran ppkn, bahasa indonesia, . Tujuan dan fungsi penilaian portofolio penilaian portofolio dapat digunakan. Penilaian autentik dalam pembelajaran bahasa indonesia. Peserta didik sesuai dengan kenyataannya, yaitu: 2) guru tidak mengembangkan kriteria dan format khusus penilaian isi portofolio karena terbatasnya. Contoh format penilaian mata pelajaran ekonomi kelas x semester 2 . Penilaian portofolio dalam pembelajaran bahasa indonesia 634 penilaian portofolio dalam pembelajaran bahasa indonesia di smp negeri 9 yogyakarta portfolio . Contoh komentar guru dan orang tua terhadap hasil penilaian dengan portofolio.

Contoh Format Penilaian Portofolio Bahasa Indonesia : 7+ Contoh CV Dalam Bahasa Inggris Terbaru - Contoh Surat / Contoh format penugasan menyajikan teks cerita tentang lingkungan dan sumber daya alam secara mandiri dalam teks bahasa indonesia dengan memilih dan memilah .. Memandang penilaian dan pembelajaran secara terpadu. Komentar guru serta komentar orang tua contoh format portofolio: Penilaian autentik dalam pembelajaran bahasa indonesia. Tujuan dan fungsi penilaian portofolio penilaian portofolio dapat digunakan. Peserta didik sesuai dengan kenyataannya, yaitu:

Posting Komentar untuk "Contoh Format Penilaian Portofolio Bahasa Indonesia : 7+ Contoh CV Dalam Bahasa Inggris Terbaru - Contoh Surat / Contoh format penugasan menyajikan teks cerita tentang lingkungan dan sumber daya alam secara mandiri dalam teks bahasa indonesia dengan memilih dan memilah ."